Νέα δεδομένα επιχειρεί να φέρει στο ζήτημα της πολεοδόμησης του στρατοπέδου Καλογερογιάννη ο επικεφαλής της παράταξης “Πνοή Δημιουργίας”, Νίκος Σταυρέλης. Ο πρώην πρόεδρος του Δημοτικού Συμβουλίου σε δήλωσή του μετά την συνεδρίαση της Επιτροπής Ποιότητας Ζωής έκανε αναφορά στην τριπλή ένσταση που κατέθεσε (και η οποία συζητήθηκε, αλλά απορρίφθηκε) για το θέμα αυτό.
Ωστόσο, το πιο σημαντικό είναι η θέση που υποστήριξε πως υπάρχει πρόβλημα νομιμότητας της Πολεοδόμησης, με δεδομένο ότι “το νέο ΦΕΚ 567/Τ.Δ./2-9-21, ενώ διατηρεί τις ίδιες χρήσεις (Διοίκηση – Εκπαίδευση- Πολιτισμός – Αθλητισμός), όλως περιέργως στο συνημμένο χάρτη περιλαμβάνεται παρανόμως πολεοδόμηση του συγκεκριμένου χώρου, παραποιώντας τις αποφάσεις του Δημοτικού Συμβουλίου, στις οποίες ομόφωνα είχαμε αποφασίσει ότι δεν θα περιληφθεί καμία τροποποίηση σε σχέση με το 2013, παρά μόνο η θεραπεία του προβλήματος της ΣΜΠΕ του επιχειρηματικού πάρκου. “.
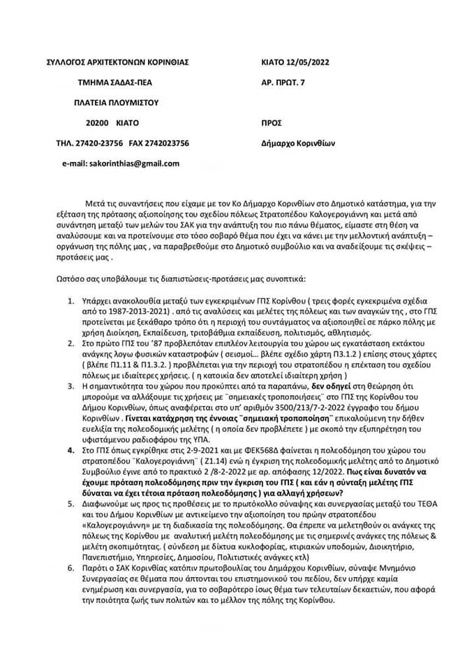
Ανάλογη θέση διατυπώνει και ο Σύλλογος Αρχιτεκτόνων Κορινθίας, ο οποίος διαπιστώνει με έγγραφό του “ανακολουθία μεταξύ των εγκεκριμένων ΓΠΣ της Κορίνθου (1987, 2013, 2021)”.


Όλα αυτά λίγες μερές μετά την αποκάλυψη του Korinthia.net.gr ότι η ΕΛΑΣ επιχειρεί να μπλοκάρει την μεταφορά της κλειστής δομής και συνακόλουθα την πολεοδόμηση του στρατοπέδου και την παραχώρηση στον δήμο του 50%, τουλάχιστον μέχρι το τέλος του 2027.
ΔΙΑΒΑΣΤΕ ΑΚΟΜΑ: ΒΟΜΒΑ: Η ΕΛΑΣ βάζει εμπόδια στην παράδοση του 6ου ΣΠ στον δήμο Κορινθίων

ΟΛΟΚΛΗΡΗ Η ΔΗΛΩΣΗ ΣΤΑΥΡΕΛΗ
Στη σημερινή συνεδρίαση της Επιτροπής Ποιότητας Ζωής εξετάστηκε η ένσταση της παράταξής μας επί της απόφασης του Δημοτικού Συμβουλίου της 14/2/22 για την πολεοδόμηση του στρατοπέδου του 6ου Συντάγματος Πεζικού. Ήταν η μόνη ένσταση που υποβλήθηκε εμπρόθεσμα.
Ο Δήμαρχος είχε δεσμευτεί ότι θα γίνει διαβούλευση. Δυστυχώς δεν τήρησε το λόγο του και πήγε στο βρόντο η υπόσχεσή του.
Η ένστασή μας αφορούσε τρία σημεία:
1)Να παραμείνει το ιστορικό γήπεδο με την υπάρχουσα κερκίδα σε λειτουργία και να μην γίνουν οικοδομικά τετράγωνα. Δυστυχώς απορρίφθηκε.
2)Να γίνει ένα μεγάλο υπερτοπικό πάρκο 20 στρεμμάτων. Δυστυχώς απορρίφθηκε.
3)Να μειωθεί το ύψος των οικοδομών από 12 μέτρα (τετραόροφες οικοδομές) σε 7,50 μέτρα (διόροφες). Δυστυχώς απορρίφθηκε.
Βέβαια η απόρριψη έγινε κατά πλειοψηφία. Ο κ. Γκερζελής ψήφισε υπέρ της ένστασης και επιπλέον πρότεινε να μην γίνουν πολυκατοικίες (δεν τις έχει ανάγκη ο τόπος μας) στο χώρο των 300 στρεμμάτων, αλλά ο Δήμος να απαλλοτριώσει ή αγοράσει την έκταση από το ΤΕΘΑ με την προβλεπόμενη αποζημίωση να ανέρχεται σε 30.000.000€.
Πέραν αυτών όμως θέσαμε και ένα πάρα πολύ σημαντικό θέμα νομιμότητας. Το ΓΠΣ του 2013 το συγκεκριμένο χώρο των 300 στρεμμάτων είχε περιοριστικά συγκεκριμένες χρήσεις: Διοίκηση – Εκπαίδευση – Πολιτισμός – Αθλητισμός. Ο δε συνημμένος χάρτης του ΦΕΚ 255/Τ. ΑΑΠ/5-7-2013 εμφανίζεται αδόμητος.
Το 2021 όμως το νέο ΦΕΚ 567/Τ.Δ./2-9-21 όλως περιέργως ενώ διατηρεί τις ίδιες χρήσεις (Διοίκηση – Εκπαίδευση- Πολιτισμός – Αθλητισμός) στο συνημμένο χάρτη περιλαμβάνεται παρανόμως πολεοδόμηση του συγκεκριμένου χώρου, παραποιώντας τις αποφάσεις του Δημοτικού Συμβουλίου, στις οποίες ομόφωνα είχαμε αποφασίσει ότι δεν θα περιληφθεί καμία τροποποίηση σε σχέση με το 2013, παρά μόνο η θεραπεία του προβλήματος της ΣΜΠΕ του επιχειρηματικού πάρκου.
Τόνισα ότι πλέον υπάρχουν πολύ σοβαρά ζητήματα νομιμότητας της πολεοδόμησης του στρατοπέδου. Δυστυχώς ο κ. Δήμαρχος δεν άκουσε κανένα από τους παρισταμένους δημοτικούς συμβούλους, ούτε και τους εκθέσαντες τις εκ διαμέτρου αντίθετες απόψεις τους ως προς την πρόταση πολεοδόμησης του Δήμου αρχιτέκτονες μηχανικούς κ.κ. Γρίσπο, Πρωτοπαπά και Βουδούρη. Μάλιστα ο κ. Δήμαρχος αυθαιρετώντας ανέφερε στους παρισταμένους «ΛΕΤΕ ΠΑΡΑΜΥΘΙΑ». Ανεπίτρεπτο κατά την άποψή μας. Δείχνει μία αλαζονεία της εξουσίας.
Τονίσαμε ότι δεν μπορεί να ολοκληρωθεί η διαδικασία για να περιέλθει στο Δήμο πριν από 2 ή 3 χρόνια , διότι οι διαδικασίες είναι πάρα πολλές. Άρα δεν είναι επείγον. Αν το πρόσχημα είναι άρον άρον να γίνει η όποια πολεοδόμηση για να φύγουν οι δομές μεταναστών, πεδίον δόξης λαμπρό η Κυβέρνηση αύριο το πρωί να μεταφέρει τους μετανάστες σε άλλες δομές, όπως άλλωστε έχει κάνει σε άλλα μέρη της χώρας. Δεν είναι δικαιολογία αυτή.
Η ουσία είναι ότι ο Δήμος ουσιαστικά χάνει από αυτή την πολεοδόμηση. Από τα 300 στρέμματα θα πάρει ούτε 50 τελικά για αξιοποίηση. Τα υπόλοιπα ωφελούν τις πολυκατοικίες που θα φτιάξει το ΤΕΘΑ.
Τέλος αναφέραμε στη τοποθέτησή μας ότι ουσιαστικά ο Δήμαρχος δεν έκανε καμία διαπραγμάτευση με το ΤΕΘΑ υπέρ των συμφερόντων του Δήμου και το αποτέλεσμα είναι δυσμενέστατο που θα επηρεάσει τους κατοίκους και την Κόρινθο τα επόμενα 100 χρόνια. Εμείς σε κάθε περίπτωση με οποιονδήποτε νόμιμο τρόπο θα επιδιώξουμε την αποκατάσταση της αδικίας προς όφελος των δημοτών και της πόλης.










Comments